DP-16QAM Unrepeated Raman Amplified System over 200 km

  • Description

    This example illustrates the unrepeated transmission of a multilevel coded (16QAM) polarization multiplexed signal. Fiber losses are compensated by distributed Raman amplification (DRA). It is well known that primarily backward-pumped systems are less affected by pump-to-signal RIN transfer and that forward pumping increases OSNR but also suffers more from the polarization dependence of Raman gain [1], [2]. Therefore the presented scheme splits the pump power between forward and backward direction as 5% to 95% [3].

    The distortion induced by polarization crosstalk and polarization-dependent Raman gain are corrected using training sequences combined with frequency domain equalization (FDE).

  • Typical Results

    The simulation setup is shown in Figure 1. The signal power distribution along the link is presented in Figure 2. The forward pump has only a minor impact: it only assures that the signal level doesn't drop to fast. Equalization is performed using VPItookit DSP Library.

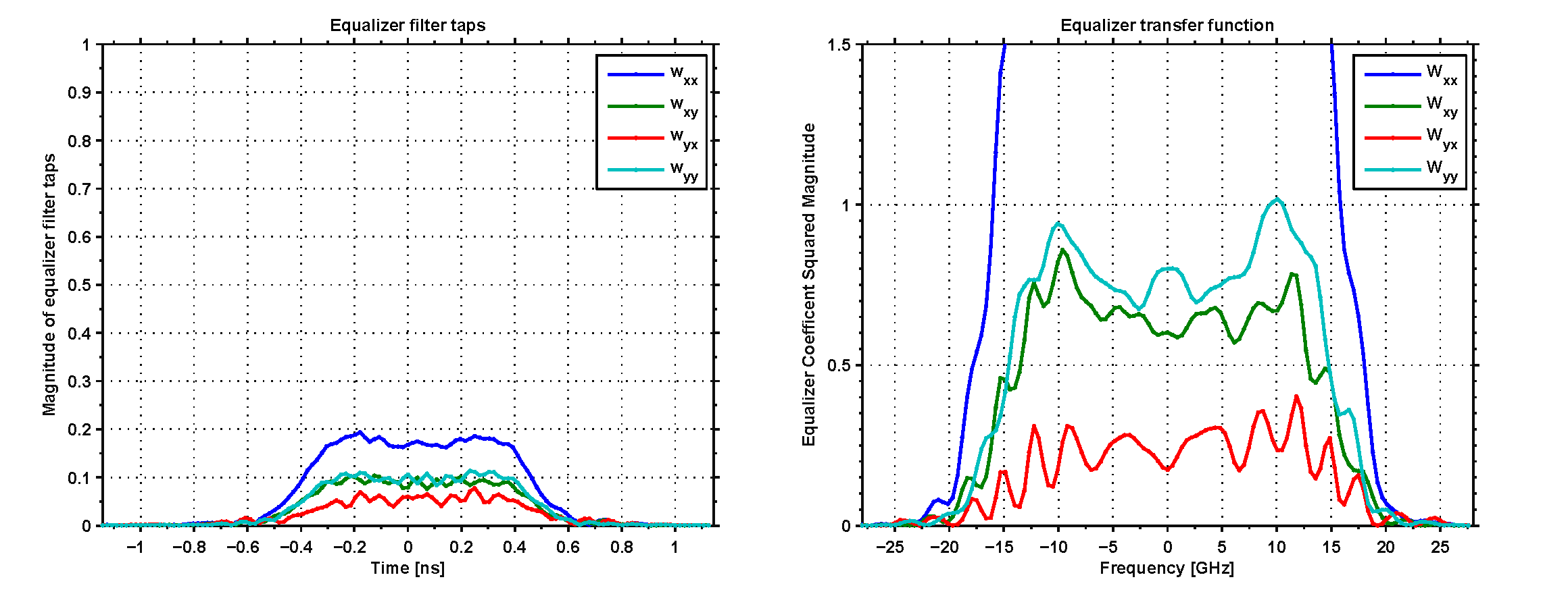
    As it can be observed form the impulse response and transfer function of the equalizer filter (Figure 3), the signal suffers from polarization-dependent gain (PDG) and the weights for both polarizations differ significantly.

    Nevertheless, due to DSP-assisted detection, the signal can be successfully detected after 200 km (Figure 4). Used in simulations, the FDE algorithm assisted by training sequences copes well with Raman amplification-induced PDG: it shows similar performance for a wide range of PDG values (Figure 5).

  • Further Information

    Keywords: 16QAM, Raman, DRA, nonlinearities, FDE, data-aided, DSP, HHI

    Similar demonstrations are available in VPItransmissionMaker Optical Systems and on the VPIphotonics Forum.

    [1] Lin Q, Agrawal GP. "Vector theory of stimulated Raman scattering and its application to fiber-based Raman amplifiers" J. Opt. Soc. Am. B 2003; 20: 1616-1631.
    [2] Sergeyev S, Popov S, Friberg AT. "Modeling polarization-dependent gain in fiber Raman amplifiers with randomly varying birefringence" Optics Commun. 2006; 262: 114-119.
    [3] El-Taher A, Pang X, Schatz R, Jacobsen G, Popov S, Sergeyev S. "Noise Characterization and Transmission Evaluation of Unrepeated Raman Amplified DP-16QAM Link" in Optical Fiber Communications Conference and Exhibition (OFC), 2015, 22-26 March 2015

« back to other examples